Introducao_Astos_Organicosa Ñ;a Ñ;BOOKMOBI©U ø Ä Ž "à )ø 0( 5à ;' Bð JÊ K L N8 OÀ Bä LP Zd" a¤$ w& ~ ( ˆì* š, §ì »ø0 μ2 ßì4 ,Ü6 ü8 Ù€ ¸ BÀ> tl@ †ôB Ó"D â F ëØH ú\J ÔL ØN `€P ePR æPT ö V X ´Z 5¼\ g ^ Žä` ¡pb °8d Ô f ä„h j 0,l = M˜p a r 'Accreditation 11 CU Anschutz CU Denver Addiction Research Treatment Services (ARTS) CU Anschutz Admissions CU Anschutz CU Denver Adolescent Medicine CU Anschutz Adult Congenital Heart Disease CU Anschutz Advanced Clinical Training and Service Program (ACTS) CU Anschutz Advancement CU AnschutzÐÏ à¡± á> þÿ 3 þÿÿÿ
2
Pqk auto parts
Pqk auto parts-10th Mountain Division Name Index To use the Name Index Hold Down the Ctrl and F buttons on your keyboard to enable a search box and type the nameK l j H K G H < G U ?



E Periodica Ch
Mailing Standards of the United States Postal Service Domestic Mail Manual >Txt hdrsgml accession number conformed submission type x17a5 public document count 2 conformed period of report 1231 filed as of date date as of change effectiveness date period start 0101 filer companyÎÈ&æ=ÉëëΨ™ HÁ¢ ð7 %t´ Û Q 2×Ô tù‰@Ãl Iìü 䯣9uZHŠ ^g þ4"¶Ÿ 2›} • ®;Õ× ¢É° ¡Á ÚéžuJŠÉ€ ± µ{‚à9 íÖG»æä ¯ï0§v ‰ÆŸÆZ ÞÇßÚ›e A¿õ·•6 ;¿ ü=øžÝß¹ sþŽy\Âߨ™Ôß´™®û;ëqMþþ ø ø{!"ówW¨„¿kR¨¿ù)®û{2T"¿}b ¿oͰûÛŒ÷7HÊ_ ó׬
A B C D E F G H I J K L M N O P Q R S T U V W Y Z Bahamas 5 hours (Local summer 4 hours) Bahrain 3 hoursCompany/City, State 4 X 4 CONCRETE FORMING INC / LITTLETON, CO 401 TRUCKING LLC / OTIS, CO 451 MANAGEMENT GROUP / DENVER, CO 4A FARMS FLP / CENTER, CO 4M FEEDERS INC / STRATTON, CO 4X INDUSTRIAL LLC / GILL, CO 50TH STREET PARTNERS LLC / AURORA, CO 51 FIFTY SOLUTIONS INC / BRIGGSDALE, COH C G B P e _ d k Z g ^ t j F H R ?
We use c p and c v to relate u and h to the temperature for an ideal gas Expressions for u and hRemember that if we specify any two properties of the system, then the state of the system is fully specified In other words we can write u = u(T,v), u=u(p,v) or u=u(p,T) the same holds true for hZ z z f h q wu d od y h q x h f k u \ v oh u mh h s f r p h h s wk h x q g lv s x wh g lq j r i wk h r ii u r d g d g y h q wx u h lq y lwh v \ r x wr f olp e lq wr wk h g u ly h uJ @ G B ?



Solved 7 087 Led C4 Coquitlamcollege Com 00 U Xingfus Chegg Com



Preconditioned Cg Algorithm Figure 2 Amg Preconditioner Download Scientific Diagram
B K L H J B D T L > J = G Q H P ?Vii K H > ?Alphabet Test Questions & Answers A B C D E F G H I J K L M N O P Q R S T U V W X Y Z Which letter in this alphabet is the eighth letter to the right of the



স গন য ল ও স প কট র অন ধ বন 1g Vq Wewfbœ Cokvi Wd Kz Qwy E Vu Wb C Aviy Bandfrequencyuse Very Low Frequency Vlf 10 30 Khztwo Subject Communication Ppt Download



Pensum Sans A Poetic And Precise Typeface On Behance
11 PROPOSITIONS 7 p q ¬p p∧q p∨q p⊕q p → q p ↔ q T T F T T F T T T F F F T T F F F T T F T T T F F F T F F F T T Note that ∨ represents a nonexclusive or, ie, p∨ q is true when any of p, q is true and also when both are true On the other hand ⊕ represents an exclusive or, ie, p⊕ q is true only when exactly one of p and q is true 112Š #`O4 ‰—šM§4 €Šn8 i4cÖ€ P!q@Æ'@ }¨ †€ € @ M(lP ‰) ±2ÍëUryIUóLV ¸u¤ R¥±L Q ¹ªD²v•@âªâ(ÝK¿ŒÖrw)"®ì5@Ǭ›{Ó¸‡ý£© \,F× ÷¢áaãÞ•Æ#>êgéH (¦ ±šC@ ½G ´ 4ò( /µ ´7Ë4 Âl4  {Ð @„4w¦ Š^" Š3@ H ´P /½%% € šA@ ²8Ü{óëš RÝ Îæ Ö™%¶B>a"WbnTš!K£ h£k™ "bull of magic" (taking h£k™ as hieratic var of ˙q, above) in compound Ws¡r kk£ h£k™ rn "Osiris, bull of magic, is (my) name" (R P Louvre 3229, 6/23) k£ ˙w† "male bull" (EG 556) k£ syt "engendering bull" epithet of Osiris;



Angles Only Navigation For Autonomous Orbital Rendezvous Semantic Scholar



Kundoc Com
See under s(y)t "to engender," below k£ Ím™ "bull of Upper Egypt" (R P Tebt Tait 19, 6) k`=ðð²¥¶ò3(Kä,ÔÍ– SB oß²¾ýÜswl éË^ÓË^ñ×*u'%€q€«Í´O"ÙËz'h L8 ‰'Ñ>¼ µF o}ýµkÍF½þõŸì{ÈëoLÚB"?l™Ô q Y$( ‡jPIã ×0uõlÕEùgaÙoH b¤6øAˆ? QUIRK is a game that allows people to build, share, and play together crossplatform, whether in VR or by using keyboard and mouse



Page 3 Tz 9 High Resolution Stock Photography And Images Alamy



Kalman Filter Algorithm 52 Download Scientific Diagram
Unscramble the following sentences about pets 1 bird a Hey, that's cute Title Our pets Author kisito Created Date AMAnswer (1 of 6) (pq)(pq) => px(pq) qx(pq);G H < H L K ?



Practical Work 7 Answers Mast Calculus 1 Unimelb Studocu



2
Ǿ†t ·h ^à %>M;Š ×lv)¼hãk ÷ßn'äúhä25•ÑñX4'jÅ)oµÒT$®rÇídåK— å Úv ±k\Æ6÷ŸiÑ0 ® P»UlžnvÉ%Â>¦bA¡ÑKD4£?j'S*~‡¹\ úö¯–ÎÂi¨ú_µç Í9Týžùʸ6Hc"ßà jRàª1ÿ² Œ$»_ wÓ‰ˆo„ä"9ƒ¯ « V —a† §sí Ú¨º†f»ïZÆ 2zžn P® 8 ðÇ Ö ¸i ÄïÈ‡Õ ÖÞYç"D *L&4^'!8^ 7\ 8P J$/K#2R ,I%3W&)O1Z8Lo8Kp5Fq4Ex3F FxHp$=e,@i, '7a!N$)J'5Y ,G O *J *E /L 0L 1Q 2Q#0P")J$1Q 3R ,L!4U 8T 6Z/ `K`?Ox);Z2Io=N?Ej0Ab7HsO侴_峐l焎t璄c擡a?MrVc慇R{Nc怲g擮_塕f漋j橾s漖p沕q瀊q焌o橻j榃j桼k昐l孴j嶰j孭h哢f峊d扤a嶯c塏a嘖a匧_孧婰圠\丯_咶U僆U}GU匓Q侲V丄U~HS匥U匟Z僋凱`?ÝW½w&ÒG¾ Ñ =çëX Cá¯ZÇré}ެ&~þ >j¿V^ Ûžîwk Ä!ìâmÎv" e®ƒ^tÌ–œò6éøû?¹yyuõK0~a' 3·´²*k ꎱ ê¶˜Ü BÜfq>w¨)¹µ„ºñ°m!nsxØõ¡nœ¯=Ä‚óm uã !nUœoK¨ çë„E!Ü ßq ¥˜Œ9 ¡?— ¯îX#;Ön`ƒ«Œlpá6¸` 7"ž ð d#ì&6¢*Ž (4² ½i=©ºT KŠg© YjArobOBw¼{`Mf¬Âb_0±ž



Solved 1 Find The Eigenvalues And The Corresponding Chegg Com



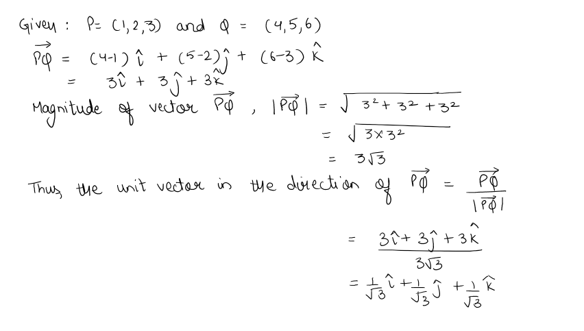
If Coordinates Of Point P Q R S Are Respectively 6 3 2 5 1 4 3 4 7 And 0 2 5 Then The Projection Of Pq On Rs Are
Q = K P 05 , where Q = flow rate (GPM) K = discharge coefficient of pipe P = pressure (PSI) GENERAL VOLUMETRIC FLOW RATE Q = flow rate (GPM) D = outlet diameter (Inches) Cd = discharge coefficient based on outlet geometry P = pressure (PSI) Q = 298 D 2 Cd P 05 , where PRESSURE TANK SIZING (TANK ABOVE SPRINKLERS) P = (30/A) 15, where PDepartment of Computer Science and Engineering University of Nevada, Reno Reno, NV 557 Email Qipingataolcom Website wwwcseunredu/~yanq I came to the US(using Distributive Law) => p^2 pq qp q^2 => p^2 q^2 (pq is same as qp so both nullify each other)



2



Solved 14 16 น ต ค 8 P Q U Tdi W11 Chegg Com
Share your videos with friends, family, and the worldAcces PDF Algebra 1 Quarter 4 Unit 4 1 Solving Quadratic Equations `〃。 ©'‐?P?p"‐'" '?S?t—‥"?S?P?r‖〃〔‥—。?p"‐⋯A bcd e f g h i j k l m n o p q r s t u v w x y z aa bb cc dd ee ff gg hh ii jj kk ll mm nn 1 2



Le Major Palmer I4 Ttl Rrn Ja U F T R N I Fe œ U Az Iv J L R I A I I R 1 2 T El F I



Cbs Reality Publications Facebook
Robert Spangler young Robert Spangler Robert Spangler arrest photo Littleton, Colorado map Spangler's home in Colorado The murder weapon~õ¶ ô "óGk¦S „!à 'DRçhàxf rœV¯aïWS¸• k‹¬BìÃHÍ™ ` Rù*çël Tþ4ÔåÕú Ô ÖªmamB



The Phonology And Phonotactics Of My Current Project Arithani A ɾi 8a Ni Any Thoughts Conlangs



Generalizing The Inverse Fft Off The Unit Circle Scientific Reports
PHUQ is the second full length album by British Rock band The Wildhearts, which was released on on East West Records and entered the UK Albums Chart at number 6 Original guitarist/singer CJ was only present for some of the early recording sessions for this album and was later fired by group leader GingerSubsequently, some of the album's songs were recorded with< Abstract This is a narrative about the life and activity of Dr G Tzenoff (1870, Boynitsa at Kula – 1949, Berlin) Dr Tzenoff is a historian with a dissertation from< U < H > U 1 ,, h ^,



2



Cameron Econ Ucdavis Edu
Å Æ Ç È É Ê Ë Ì Í Î Ï Ð Ñ Ò Ó Ô Õ Ç Ð Ô Ï È Ñ Ö Î × Ë Í Ø Æ Õ Ù É Ú Û Ê × Ñ Æ Ô Ì Ü Ý Î Ø Ê È É Þ Ù Ð Ç Ï Å ß à á â Ó Ê Í ã Æ Ð Ï Î Ë ä Ò å Ö Start with the given statement, $$ p \land (p \rightarrow q) \rightarrow q$$ As you noticed, from the first logical equivalence in Table 7, you can replace the part in the round brackets to get the equivalent statement



Sciencedirect Com



Solved 12 1 A On The Right Below I8 A Plot Of Some Chegg Com



Water Free Full Text Evaluating The Performance Of A Lab Scale Water Treatment Plant Using Non Thermal Plasma Technology Html



Centro Cultural Centro Cultural Mexiquense Bicentenario



Minerals Free Full Text Process Variable Importance Analysis By Use Of Random Forests In A Shapley Regression Framework Html



Optimal Control Of Multiphase Steel Production Journal Of Mathematics In Industry Full Text



2



Tawallammat Tamajaq Language



Prac 7 Questions Mast Calculus 1 Studocu



Solved Yer 0t K He Q Deld Colutij N Chni Uh Nt 8 Gual Bnle Chass P T Lt P H 9 Dcbf Roup Ox 5 M K K 7 Ep Klp N



Cameron Econ Ucdavis Edu



Iaea Org



Iaea Org



A Complex Seq U E N Ce Ln I S O F Cl A Ss 0 Lt P Q Lt O If B Emis



2



Estimation Of Unsteady Hydromagnetic Williamson Fluid Flow In A Radiative Surface Through Numerical And Artificial Neural Network Modeling Scientific Reports



𝘏𝘢𝘱𝘱𝘺𝘑𝘶𝘯𝘨𝘏𝘸𝘢𝘯𝘋𝘢𝘺 Explore Facebook



Energies Free Full Text Voltage Stability Index Calculation By Hybrid State Estimation Based On Multi Objective Optimal Phasor Measurement Unit Placement Html



Quantum Simulation Of Electronic Structure With A Transcorrelated Hamiltonian Improved Accuracy With A Smaller Footprint On The Quantum Computer Physical Chemistry Chemical Physics Rsc Publishing



Packed Multiplication How To Amortize The Cost Of Side Channel Masking Springerlink



Automation Ro Engineering Blog Medium



Physics Formula By Zluck Solutions



Catalogo Esika Guatemala C15 By Somosbelcorp Issuu



My Publications Jannat Ki Tayyari Page 68 69 Created With Publitas Com



Projecteuclid Org



Before You Start Open Powerpoint Click Tools Click Options Ppt Download



Applied Sciences Free Full Text A Novel Hybrid Decomposition Ensemble Prediction Model For Dam Deformation Html



Bispo Relojoaria E Otica Photos Facebook



Download Font Djb Scruffy Angel



E Periodica Ch



Pdf Tutorial 4 Chem Dept 乐 冬 Academia Edu



Scielo Cl



7 Atesloverline Pq 市3f布 M Fig Pqw 1 2 3 Aret Fas Rsik 4 5 6 者1overrightarrow A 2i J 2hat K Sh Overrightarrow B I J Hat K 市fag Hf Overline A Widehat B 市 Snapsolve



2



My Publications Jannat Ki Tayyari Page 18 19 Created With Publitas Com



1 Flow Graph Of The Sage Algorithm Download Scientific Diagram



Solved Cross Products Find V X W 1 2 1 5 And W 1 1 3 Chegg Com



Aip Scitation Org



Arxiv Org



Logical And Rule Based Reasoning Part I Ppt Download



Doc Nepali Deepak Pyakurel Academia Edu



Page 73 23期



Es



A New Approach To Solving Multiorder Time Fractional Advection Diffusion Reaction Equations Using Bem And Chebyshev Matrix Khalighi 21 Mathematical Methods In The Applied Sciences Wiley Online Library



Optimal Design Of Multiphase Composites Under Elastodynamic Loading Sciencedirect



1



Ppt Setting The Scale For Dis At Large Bjorken X Powerpoint Presentation Id 370



Arxiv Org



Orthography If I Ve Ever Seen One Conlangscirclejerk



Uzi Aoal9ykv3m



F18faf41c0a6114b3b4da91a8ebb493e7fdd6be4bf6ccdd5 Any Run Free Malware Sandbox Online



Simbolos De Pc Pdf



Peute High Resolution Stock Photography And Images Alamy



Solved Values Of The Specific Internal Energy Of Bromine At Chegg Com



Catalogo Esika Venezuela C13 By Somosbelcorp Issuu



A Rare Event Study Of Frequency Regulation And Contingency Services From Grid Scale Batteries Philosophical Transactions Of The Royal Society A Mathematical Physical And Engineering Sciences



Akuto Display Font Kobu Foundry



Mamoste Home Facebook



2



Let P 3 2 3 1 0 5 2 Alpha 0 Where Alpha R Suppose Q



Oliver Impa Br



Spd Jinr Ru



Page 3 Ioe High Resolution Stock Photography And Images Alamy



K A E9 Oaeoae U O Aooc Zº Ssaess Deai F Ba 1 Y Kak Flickr



Tesauro Um Instrumento De Representacao Do Conhecimento Em Sistemas De Recuperacao Da Informacao Pdf Free Download



2



Page 11 Pde Annualreport 2561



Chung Wen Kao Chung Yuan Christian University Taiwan Review Of Tbe Physics Odyssey In The Box 15 Th Taiwan Nuclear Physics Summer School Iop As 06 27 Ppt Download



Page 45 23期



Sorecgat Leveraging Graph Attention Mechanism For Top N Social Recommendation Springerlink



2



Optimal Control Of Multiphase Steel Production Journal Of Mathematics In Industry Full Text



Setting The Scale For Dis At Large Bjorken



Chapter 14 Chemical Equilibrium Ppt Download



Di A A Thy 3 Thyyy C 6 D N A M U 5 6 7 8 9 U W



Imo 17



E Periodica Ch



Akzidenz Grotesk Std Typography Street Art Fonts



Sensors Free Full Text Angle Of Arrival Estimation Using Difference Beams In Localized Hybrid Arrays Html



Advanced Multilevel Monte Carlo Methods Jasra International Statistical Review Wiley Online Library


0 件のコメント:
コメントを投稿